Secara umum biosintesa terpenoid terjadi 3 reaksi dasar yaitu:
- Pembentukan isoprene aktif berasal dari asam asetat melalui asam mevalonat.
- Penggabungan kepala dan ekor dua unit isoprene akan membentuk mono-, seskui-, di-, sester-, dan poli-terpenoid.
- Penggabungan ekor dan ekor dari unit C-15 atau C-20 menghasilkan triterpenoid dan steroid.
Asam asetat setelah diaktifkan oleh
koenzim A melakukan kondensasi jenis Claisen menghasilkan asam asetoasetat.
Senyawa yang dihasilkan ini dengan asetil koenzim A melakukan kondensasi jenis
aldol menghasilkan rantai karbon bercabang sebagaimana ditemukan pada asam
mevanolat. Reaksi-reaksi berikutnya ialah fosforilasi, eliminasi asam fosfat
dan dekarboksilasi menghasilkan IPP yang selanjutnya berisomerisasi menjadi
DMAPP oleh enzim isomerase. IPP sebagai unit isopren aktif bergabung secara
kepada ke-ekor dengan DMAPP dan penggabungan ini merupakan langkah pertama dari
polimerisasi isopren untuk menghasilkan terpenoid. Penggabungan ini terjadi karena
serangan elektron dari ikatan rangkap IPP terhadap atom karbon dari DMAPP yang
kekurangan elektron diikuti oleh penyingkiran ison pirofosfat. Serangan ini
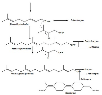
menghasilkan geranil pirofosfat (GPP) yakni senyawa antara bagi semua senyawa
monoterpen.
Penggabungan selanjutnya antara satu
unit IPP dan GPP, dengan mekanisme yang sama seperti antara IPP dan DMAPP,
menghasilkan farnesil pirofosfat (FPP) yang merupakan senyawa antara bagi semua
senyawa seskuiterpen. Senyawa-senyawa diterpen diturunkan dari geranil-geranil
pirofosfat (GGPP) yang berasal dari kondensasi antara atau satu unit IPP dan
GPP dengan mekanisme yang sama pula.
PERMASALAHAN:
Berdasarkan artikel di atas, dikatakan bahwa triterpenoid dapat dihasilkan dari penggabungan ekor unit C-15 yang merupakan seskuiterpen dengan ekor unit C-20 yang merupakan diterpen. Apakah triterpenoid hanya dapat dihasilkan oleh reaksi penggabungan C-15 dan C-20 saja? Mengapa? Apakah mungkin triterpenoid dapat dihasilkan dari penggabungan lain. Misalnya antara C-10 dan C-20 yang pada ekornya sama-sama memiliki unit GPP?
PERMASALAHAN:
Berdasarkan artikel di atas, dikatakan bahwa triterpenoid dapat dihasilkan dari penggabungan ekor unit C-15 yang merupakan seskuiterpen dengan ekor unit C-20 yang merupakan diterpen. Apakah triterpenoid hanya dapat dihasilkan oleh reaksi penggabungan C-15 dan C-20 saja? Mengapa? Apakah mungkin triterpenoid dapat dihasilkan dari penggabungan lain. Misalnya antara C-10 dan C-20 yang pada ekornya sama-sama memiliki unit GPP?

Baiklah saya akan mencoba menjawab pertanyaan saudara semampu saya. Menurut pertanyaan anda apakah triterpenoid hanya terbentuk dari penggabungan c-15 dan c-20 saja? Saya menjawab ya hanya dari c-15 dan c-20 saja ( seskuiterpenoid dan diterpenoid) karena jika terbentuk dari c-10 dan c-20 (monoterpenoid dan diterpenoid) reaksi yang berlangsung tidak seimbang. Coba perhatiakan penggabungan dibawah ini!
BalasHapus(Maaf gambar tidak bisa ditampilkan di komentar, nanti saya sampaikan secara langsung)
Dari penggabungan diatas dapat dihitung jumlah atom C nya, dan diketahui atom C di opsion 1 dari monoterpen dan diterpen berjumlah 26 dan setelah digabungkan hanya berjumlah 25 , sedangkan atom C pada opsion kedua dari seskuiterpen dan diterpenoid berjumlah 30 dan 29 setelah digabungkan atau disebut triterpenoid (C-30)
saya akan mencoba menambahkan jawaban dari yuliana sirait. menurut sumber yang saya baca, bahwa triterpenoid juga merupakan senyawa yang kerangka karbonnya berasal dari enam satuan isoprena dan secara biosintesis diturunkan dari hidrokarbon C-30 asiklik, yaitu skualena, senyawa ini tidak berwarna, berbentuk kristal, bertitik leleh tinggi dan bersifat optis aktif
BalasHapus